INVESTIGATION OF BIODIVERSITY AND DISTRIBUTION OF ROVE BEETLES (COLEOPTERA, STAPHYLINIDAE) IN THE AGROLANDSCAPE IN NORTHWESTERN RUSSIA

O.G. Guseva

All-Russian Institute of Plant Protection, Podbelskogo 3, St.Petersburg, Pushkin, 196608, Russia
E-mail: olgaguseva-2011@yandex.ru

62 species of 38 genera of Staphylinidae were found on the field of wheat and on adjacent semi-natural habitats in the Leningrad Region. They vary by the occupied areas and their abundance on various parts of agrolandscape. Philonthus cognatus Steph., Dinaraea angustula (Gyll.) and Aloconota gregaria (Er.) have shown to be the most numerous species on the wheat field, whereas Drusilla canaliculata (F.) and Zyras humeralis (Grav.) are the most abundant in adjacent habitats. The population of the rove beetles varies significantly between the field and adjacent semi-natural habitats
Key words: biodiversity; rove beetles; agrolandscape; Northwestern Russia.

ИЗУЧЕНИЕ БИОРАЗНООБРАЗИЯ И РАСПРЕДЕЛЕНИЯ СТАФИЛИНИД (COLEOPTERA, STAPHYLINIDAE) В АГРОЛАНДШАФТЕ НА СЕВЕРО-ЗАПАДЕ РОССИИ

О.Г. Гусева

Всероссийский НИИ защиты растений, Санкт-Петербург
Пушкин, шоссе Подбельского, 3,  196608, Россия, E-mail: olgaguseva-2011@yandex.ru

В условиях Ленинградской области на поле пшеницы и в примыкающих к нему полуестественных биотопах было обнаружено 62 вида стафилинид из 38 родов. Они отличаются по занимаемому пространству и обилию на различных участках агроландшафта. Наиболее массовыми видами на поле пшеницы являлись Philonthuscognatus Steph., Dinaraeaangustula (Gyll.) и Aloconotagregaria (Er.), а в примыкающих биотопах – Drusillacanaliculata (F.) и Zyrashumeralis(Grav.). Население стафилинид поля и примыкающих к нему полуестественных биотоповсильно обособлено.
Ключевые слова: биоразнообразие; стафилиниды; агроландшафт; Северо-Запад России

Введение
В агроландшафтах, где естественная растительность в основном замещена посевами различных культур, создаются условия, различающиеся по растительному покрову, освещенности и плотности почвы. Специфика условий на отдельных участках ландшафта определяет особенности пространственного размещения отдельных видов членистоногих. Стафилиниды (Coleoptera, Staphylinidae) выделяются большим количеством видов, обитающих в агроландшафтах, и очень неравномерным их распределением по биотопам. Изучение особенностей этого распределения важно для оценки роли отдельных участков агроландшафта в формировании населения этих жесткокрылых, среди которых многие виды являются энтомофагами вредителей различных сельскохозяйственных культур.

Материалы и методы
Учеты численности стафилинид проводились в рамках комплексной работы по изучению распределения членистоногих в агроландшафте Ленинградской области. Подробно методы работы работы описаны ранее (Guseva, 2018).
Для изучения напочвенных хищных жуков были использованы почвенные ловушки – 0.5 литровые стеклянные банки, на 1/3–1/2 объема наполненные 4 % раствором формалина (Guseva, 2018). При выборке ловушек подсчитывались все членистоногие и число ловушко-суток (л.-с.) как произведение числа ловушек на время экспозиции в сутках.
Определение видовой принадлежности стафилинид и проверка наших определений указанных жесткокрылых проводилось В.И. Гусаровым (Музей естественной истории Университета Осло, Норвегия) и А.В. Ковалевым (ВИЗР и ЗИН, Санкт-Петербург), а представителей рода Stenichnus– С.А. Курбатовым (ВЦКР, Московская обл., Быково). При определении стафилинид были использована работа Freude, Harde, & Lohse (2012). Система видов представлена по каталогу (Löbl, & Smetana, 2004), с учетом более поздних изменений (Freude et al., 2012).
Собранные и определенные экземпляры Staphylinidae хранятся в коллекции членистоногих сектора агробиоценологии ВИЗР (Санкт-Петербург).
На основе полученных данных была составлена матрица, записанная в виде таблицы, в которой строки соответствуют отдельным ловушкам, колонки – видам стафилинид, а в ячейках приведены данные по обилию каждого вида. Вычисления на основе матрицы проводились в среде языка программирования R (http://www.r-project.org/). Сравнение сборов стафилинид из различных биотопов между собой проводилось путем вычисления дистанционной матрицы с помощью индекса Брея и ее кластеризации различными методами (single, complete).
В качестве показателя видового богатства в данной работе был использован индекс Маргалефа Dmg (Dmg = (S-1)/lnN, где S – число выявленных видов, а N – общее число особей всех видов) (Pesenko, 1982). В связи с зависимостью этого показателя от объема выборки (Belousov, Kabak, Nakhibasheva, & Mukhtarova, 2012) было также проведено построение кривых разрежения, позволяющих предсказывать число обнаруженных видов по мере увеличения количества собранных экземпляров. Для этого была использована функция рарефакции (rarecurve()) из пакета vegan среды R.
Дисперсионный анализ экспериментальных данных (ANOVA) проводился в программе STATA/SE 14.0.

Результаты и обсуждение
Стафилиниды распределяются в агроландшафте очень неравномерно. Из 62 видов, собранных в результате учетов, во всех ловушках отмечены только три: Gyrohypnus angustatus Steph., Amischaanalis(Grav.) и Acrotonafungi (Grav.). На поле был отмечен только 21 вид, а в смежных с ним биотопах – 53 вида стафилинид (табл. 1). Индекс Маргалефа Dmg для поля пшеницы (ловушки 1–6) составил 4.0, а для примыкающих к возделываемым землям биотопам (ловушки 7–12) – 13.2.

Таблица 1. Видовой состав и обилие стафилинид (Coleoptera, Staphylinidae), особей на 10 л.-с.


Виды

Номера ловушек

1

2

3

4

5

6

7

8

9

10

11

12

Omalium caesum Grav.

 

 

 

 

 

 

0.1

 

 

0.1

 

 

Anthobium atrocephalum (Gyll.)

 

 

 

 

 

 

0.1

 

 

0.1

0.4

0.3

Olophrum assimile (Pk.)

 

 

 

 

 

 

1.6

0.2

0.1

0.1

0.4

0.2

Olophrum fuscum (Grav.)

 

 

 

 

 

 

 

 

0.1

0.1

 

 

Anthophagus angusticollis (Mnnh.)

 

 

 

 

 

 

 

 

 

 

 

0.2

Anotylusnitidulus (Grav.)

 

0.1

0.2

 

 

0.1

 

 

 

 

 

0.1

Anotylusrugosus (F.)

 

0.1

 

 

 

 

 

 

 

 

 

 

Bledius gallicus (Grav.)

 

 

 

 

 

 

 

 

 

 

0.1

 

Stenusbiguttatus (L.)

 

 

 

0.1

 

 

 

 

 

 

 

 

Stenus clavicornis (Scop.)

 

 

 

 

 

 

 

0.3

0.2

0.1

 

 

Stenus kolbei Gerh.

 

 

 

 

 

 

 

 

 

 

 

0.1

Rugilus erichsoni (Fauv.)

 

 

 

 

 

 

 

0.3

 

0.1

 

 

Rugilus rufipes Germ.

 

 

 

 

 

 

0.2

0.1

 

0.2

0.3

 

Lathrobium brunnipes (F.)

 

 

 

 

 

 

 

0.1

 

 

 

 

Lathrobiumfulvipenne Grav.

 

 

0.1

0.1

 

 

 

 

 

 

 

 

Lathrobiumlongulum Grav.

 

 

 

 

 

 

 

0.1

 

0.1

 

 

Ochthephilumfracticorne (Pk.)

 

 

 

 

 

 

 

0.1

 

0.1

 

 

Gyrohypnusangustatus Steph.

0.2

0.1

0.3

0.1

0.2

0.3

0.6

0.6

0.2

0.5

0.3

0.2

Gyrohypnus punctulatus (Pk.)

 

 

 

 

 

 

 

 

 

 

 

0.1

Xantholinus tricolor (F.)

 

 

0.1

 

 

 

 

0.2

 

0.3

0.3

0.1

Othius myrmecophilus Kies.

 

 

 

 

 

 

 

0.1

 

 

0.1

 

Gabrius appendiculatus Scharp

 

 

0.1

0.1

 

 

 

 

 

 

 

 

Gabriusosseticus (Kol.)

 

 

 

 

 

 

0.1

0.1

0.1

0.1

 

 

Philonthuscarbonarius (Grav.)

 

 

 

 

 

 

 

0.1

 

 

 

 

Philonthuscognatus Steph.

1.2

0.2

0.6

0.4

0.4

0.1

 

 

 

 

 

 

Philonthus cruentatus (Gmel.)

 

 

0.1

 

 

 

 

 

 

 

 

 

Philonthusrotundicollis (Mén.)

 

0.1

0.1

 

 

 

 

 

 

 

 

 

Staphylinuscaesareus Ced.

 

 

 

 

 

 

 

0.3

0.1

 

 

 

Staphylinus erythropterus L.

 

 

 

 

 

 

0.1

 

 

0.4

 

 

Ocypus fuscatus (Grav.)

 

 

 

 

 

 

0.1

0.1

 

 

 

 

Quedius curtipennis Bernh.

 

 

 

 

 

 

0.2

0.1

 

0.2

 

 

Quedius fuliginosus (Grav.)

 

 

 

 

 

 

0.3

0.1

 

0.3

0.2

 

Quedius molochinus (Grav.)

 

 

 

 

 

 

0.2

0.2

 

 

0.1

 

Bryoporus cernuus (Grav.)

 

 

 

 

 

 

 

 

 

 

0.1

0.1

Bolitobius cingulatus Mnnh.

 

 

 

 

 

 

 

 

 

 

 

0.1

Bolitobius formosus (Grav.)

 

 

0.1

 

 

 

 

 

 

 

 

 

Ischnosomasplendida (Grav.)

 

 

 

 

 

 

0.4

 

 

 

0.2

0.3

Ischnosoma bergrothi Hell.

 

 

 

 

 

 

 

 

 

 

 

0.1

Sepedophilus marschami (Steph.)

 

 

 

 

 

 

0.2

 

 

0.3

0.3

0.4

Sepedophilus immaculatus (Steph.)

 

 

 

 

 

 

0.1

0.2

 

0.1

0.1

0.2

Sepedophilus pedicularius (Grav.)

 

 

 

 

 

 

0.1

 

 

 

 

0.2

Tachinus corticinus Grav.

 

 

 

 

 

 

0.2

0.5

0.1

0.6

0.2

0.1

Tachinus laticollis Grav.

 

 

 

 

 

 

 

 

 

 

0.3

 

Tachinusmarginellus (F.)

 

 

 

 

 

 

 

 

 

 

0.1

0.1

Tachinusrufipes (L.)

 

 

 

 

 

 

0.1

 

 

0.3

0.1

0.1

Tachyporus abdominalis (F.)

 

 

 

 

 

 

0.1

 

0.1

 

 

 

Tachyporuschrysomelinus (L.)

0.1

0.1

 

0.5

0.5

 

0.1

 

0.1

0.2

 

0.1

Tachyporushypnorum (F.)

0.2

0.1

0.2

0.1

 

 

 

 

 

 

 

 

Tachyporus nitidulus (F.)

0.1

 

0.1

0.1

 

 

0.1

 

 

 

 

 

Gyrophaena sp.

 

 

 

 

 

 

 

 

 

0.2

 

0.2

Drusilla canaliculata (F.)

0.1

 

 

 

0.2

0.2

5.1

3.6

0.4

1.0

4.7

3.2

Zyras humeralis (Grav.)

 

 

 

 

 

 

0.2

1.2

1.4

0.7

0.1

0.3

Ilyobates benetti Don.

 

 

 

 

 

 

 

 

 

0.1

0.1

0.1

Ocalea badia Er.

 

 

 

 

 

 

0.2

 

 

 

 

 

Oxypoda abdonimalis (Mnnh.)

 

 

 

 

 

 

0.1

0.2

 

 

 

 

Amischa analis (Grav.)

0.1

0.2

0.2

0.2

0.1

0.4

0.4

0.5

0.1

0.1

0.1

0.1

Aloconotagregaria (Er.)

0.1

0.2

0.3

0.2

0.6

0.3

0.2

 

 

 

 

 

Acrotona fungi (Grav.)

0.1

0.2

0.2

0.2

0.1

0.2

0.4

0,3

0.1

0.2

0.4

1.1

Dinaraea angustula (Gyll.)

 

0.5

0.7

0.4

0.5

0.6

0.4

 

 

 

0.3

 

Geostiba circellaris (Grav.)

 

 

 

 

 

 

 

 

 

 

 

0.1

Aleochara bipustulata (L.)

0.2

 

0.1

 

 

 

 

 

0.1

 

 

 

Aleochara brevipennis (Grav.)

0.1

 

 

 

 

 

 

 

 

 

 

 

Stenichnus collaris (Müll. et Kunze)

 

 

 

 

 

 

0.3

0.1

 

 

 

 

Суммарное обилие

1.4

1.9

3.5

2.5

2.6

2.2

12.3

9.7

3.2

6.6

9.3

8.2

Примечание: номера ловушек: 1–6 – поле пшеницы, 7–10 – обочина поля, 11 и 12 – опушка леса.

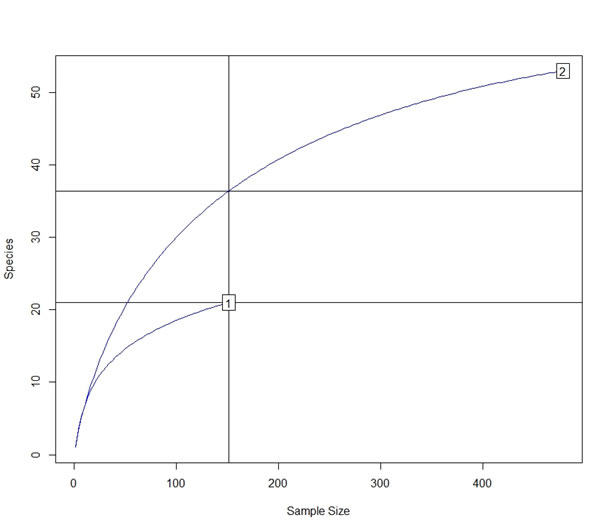
Кривые разрежения, позволяющие предсказывать число обнаруженных видов по мере увеличения объема выборки, представлены на рисунке 1. Очевидно, что для примыкающих к полям биотопов характерно более значительное увеличение числа обнаруженных видов по мере увеличения объема выборки. Например, при объеме выборки 150 экземпляров на поле пшеницы был бы обнаружен 21 вид стафилинид, а на примыкающих к полю биотопах – 37 видов (рис. 1).

Рис. 1. Кривые разрежения для комплексов стафилинид различных участков агроландшафта. Species – количество видов; Sample Size – объем выборки, экз.; 1 – поле пшеницы (ловушки 1–6); 2 – примыкающие к возделываемым землям биотопы (ловушки 7–12).

На рисунке 2 представлены показатели динамической плотности стафилинид (по результатам учетов с помощью почвенных ловушек). Наиболее высокие показатели обилия отмечены на обочине поля (ловушки 7 и 8) и опушке леса (ловушки 11 и 12). В среднем обилие стафилинид на поле пшеницы было в 3.2 раза меньше по сравнению с окружающими биотопами.
Основу комплекса видов, характерных для поля, составили Philonthus cognatus Steph. (18.5 % от общего количества собранных на посеве пшеницы стафилинид), Dinaraeaangustula (Gyll.) (17.9 %) и Aloconota gregaria (Er.) (11.3 %). В изучаемом агроландшафте в предшествующие годы исследований на различных полях были отмечены и более высокие показатели относительного обилия Ph. cognatus – до 33 % от общего количества собранных стафилинид на посеве викоовсяной смеси и D.angustula – до 31 % в агроценозе яровой пшеницы (Guseva, & Koval, 2011). A. gregaria в агроценозах Северо-Запада России является одним из наиболее массовых видов стафилинид (Guseva, 2014), однако предпочитает участки с хорошо окультуренной почвой (Guseva, & Koval, 2015).
Наиболее массовым видом стафилинид в биотопах, примыкающих к полю, являлся Drusillacanaliculata(F.). Особи этого вида составили 35.4 % от общего количества стафилинид, собранных в ловушках 7–12. Резкое увеличение обилия D.canaliculataнаблюдается на границе обрабатываемой территории и обочины поля, заросшей разнотравьем и кустарниками. Количество особей этого вида в ловушке номер 7, расположенной в метре от края поля, в 24 раза превышало аналогичный показатель для ловушки номер 6 на посеве пшеницы (табл. и рис. 2). Наибольшая динамическая плотность представителей этого вида отмечена на участках с зарослями кустарников (ловушки 7, 8, 11, 12), где формируется слой листовой подстилки. При этом на поляне (ловушки 9 и 10) обилие D. canaliculata значительно снижается (рис. 2). Высокие показатели относительного обилия D.canaliculataна обочинах полей в различных районах Ленинградской области отмечались и ранее (Koval, Guseva, 2009; Guseva, & Koval, 2011; Guseva, 2017). В Московской области D. сanaliculata также является видом, предпочитающим обочины полям (Soboleva-Dokuchaeva, Tshernyshev, Afonina, & Timokhov, 2002).

Рис. 2. Динамическая плотность (особей на 10 л.-с.) стафилинид на различных участках агроландшафта. 1–12– номера ловушек, в соответствии с их расположением в агроландшафте.

Другим массовым видом, обитающим в примыкающих к полям биотопах, являлся Zyras humeralis (Grav.), особи которого составили 8 % от общего количества собранных стафилинид. Для этого вида отмечено сопутствие колониям муравьев из рода Formica и социумам представителей рода Lasius (Goreslavets, 2016;  Päivinen, Ahlroth, & Kaitala, 2002). Обилие представителей семейства Formicidae (по результатам учетов с помощью почвенных ловушек) на обочине поля и опушке леса (ловушки 7–12) в 6.4 раза превышало соответствующие показатели на поле пшеницы (ловушки 1–6). Вероятно, это способствовало привлечению и увеличению численности Z. humeralis.
Дисперсионный анализ экспериментальных данных подтвердил, что для Z. humeralis влияние обилия муравьев важнее, чем влияние биотопа, при этом влияние обоих факторов значимо на 1 % уровне, а взаимодействие этих факторов значимо на 5 % уровне. Аналогичные расчёты для D.canaliculataпоказали, что статистически значимо влияет на обилие этих стафилинид только такая переменная, как биотоп (Fф = 5.9, Fтеор = 4.8 на 5 % уровне значимости).
Несмотря на то, что на обочине поля присутствуют виды, характерные для полей (Dinaraeaangustulaи Aloconota gregaria), а на поле – отдельные экземпляры видов, характерных для примыкающих к полям биотопов, например, D. canaliculata(табл.), в целом комплексы стафилинид агроценоза пшеницы и смежных с ним местообитаний сильно отличаются. Кластерный анализ (рис. 3) показал сильную обособленность комплексов стафилинид, формирующихся на поле и примыкающих к нему биотопах. Население стафилинид, обитающих на краю обочины поля (ловушка 7), намного ближе к населению этих жесткокрылых на удаленной опушке леса (ловушка 11), чем к населению Staphylinidae поля, расположенного рядом с данной ловушкой. Таким образом, проходящая по краю обрабатываемой поверхности граница между полем и его обочиной, существенная для населения жужелиц рода Poecilus(Guseva, 2018), очень важна и для стафилинид. Этому во многом способствует наличие в примыкающих к полю биотопах слоя листовой подстилки, создающего благоприятные условия для обитания стафилинид, и в первую очередь наиболее массового вида Drusillacanaliculata, а также многих других членистоногих, являющихся жертвами хищных жуков.

Рис. 3. Дендрограмма сходства комплексов стафилинид на различных участках агроландшафта. Кластеризация проведена методом complete. Номера ловушек: 1–6 – поле пшеницы, 7–10 – обочина поля, 11 и 12 – опушка леса.

Наиболее массовый на обочинах полей вид Drusillacanaliculataвстречается на полях лишь в отдельных экземплярах, а другой многочисленный в примыкающих к полям полуестественных биотопах – мирмекофильный Zyras humeralis не был отмечен на возделываемых землях. Поэтому, несмотря на более высокие показатели обилия и биоразнообразия стафилинид в примыкающих к полям биотопах, обочины полей и опушки лесов не могут способствовать значительному увеличению численности стафилинид на возделываемых землях в связи с большой обособленностью комплексов этих жесткокрылых.

Благодарности

Выражаю глубокую благодарность В.И. Гусарову, А.В. Ковалеву и С.А. Курбатову за помощь в определении видовой принадлежности стафилинид.
Работа выполнена в рамках государственного задания № 0665-2014-0009.

References

Belousov, I.A., Kabak, I.I., Nakhibasheva, G.M., & Mukhtarova, G.M. (2012). Assessment of biodiversity of carabid beetles (Coleoptera, Carabidae) in the East Caucasus based on species richness indices with the use of a database system. Nauch. Zh. Kuban. Gos. Agrar. Univ. 9 (83), 377–401 (in Russian).

Löbl, I., & Smetana, A. (Eds.). (2004). Catalogue of Palaearctic Coleoptera. 2: Hydrophiloidea – Histeroidea – Staphylinoidea. Stenstup: Apollo Books.

Freude, H., Harde, K.W., & Lohse, G.A. (2012). Die Käfer Mitteleuropas. Bd. 4. Krefeld: Goecke & Evers Verl. DOI: https://doi.org/10.1007/978-3-8274-2211-8

Goreslavets, I.N. (2018). Ecologic and faunistic characteristics of rove beetles (Coleoptera, Staphylinidae) inhabitats in ant-hills in Samara Region. Samarskaya Luka: problems of regional and global ecology, 25 (3), 133–151 (in Russian).

Guseva, O.G. (2014). The rove beetle Aloconota gregaria Er. (Coleoptera, Staphylinidae) as a polyphagous predator in the agricultural landscapes of Northwestern Russia. Plant Protection News, 1, 17–20 (in Russian).

Guseva, O.G. (2017). Rove beetles (Coleoptera, Staphylinidae) in agricultural landscape of the Leningrad Region. Plant Protection News, 4, 39–42 (in Russian).

Guseva, O.G. (2018). Distribution of ground beetles of the genus Poecilus Bonelli, 1810 (Coleoptera, Carabidae) in the agrolandscape in Northwestern Russia. Acta Biologica Sibirica, 4 (3), 102–107 (in Russian). DOI: https://doi.org/10.14258/abs.v4i3.4414

Guseva, O.G., & Koval, A.G. (2011). Regional distribution of Carabidae and Staphylinidae in agroecosystem. Agricultural Biology, 1, 118–123 (in Russian).

Guseva, O.G., & Koval, A.G. (2015). Influence of soddy-podzolic soil improvement on the abundance and structure of complexes of epigeic predatory beetles (Coleoptera: Carabidae, Staphylinidae) in Northwestern Russia. Entomological Review, 95 (8), 1051–1060. DOI: https://doi.org/10.1134/S0013873815080114

Guseva, O.G., & Koval, A.G. (2017). Aleocharines (Staphylinidae, Aleocharinae) in agricultural landscapes with different soil in Northwestern Russia. Information Bulletin IOBC/EPRS, 52, 99–103 (in Russian).

Koval, A.G., & Guseva, O.G. (2009). To the knowledge of predatory beetles (Coleoptera, Carabidae, Staphylinidae) of potato crops and adjacent natural habitats. Works of the Stavropol Department of Russian Entomological Society. Mat. II Intern. practical-science Internet-Conference «The present-day questions of entomology». Stavropol, 01.03. 2009, 5, 223–226 (in Russian).

Päivinen, J., Ahlroth, P., & Kaitala, V. (2002). Ant-associated beetles of Fennoscandia and Denmark. Entomologica Fennica, 13, 20–40.

Pesenko, Yu.A. (1982). Principles and methods of quantitative analysis in faunistic research. Nauka: Moscow. (in Russian).

Soboleva-Dokuchaeva, I.I., Tshernyshev, W.B., Afonina, V.M., & Timokhov, A.V. (2002). Seasonal dynamics of spatial distribution of mass staphylinid-beetles (Coleoptera, Staphylinidae) in agroecosystems. Journal of Zoology, 81 (4), 451–456 (in Russian).

 



Citation:
Guseva, O.G. (2019). Distribution of ground beetles of the genus Poecilus Bonelli, 1810 (Coleoptera, Carabidae) in the agrolandscape in Northwestern Russia. Acta Biologica Sibirica, 5 (1), 12–18.
Submitted: 06.12.2018. Accepted: 24.01.2019
 http://dx.doi.org/10.14258/abs.v5.i1.5185

© 2018 by the authors. Submitted for possible open access publication under the terms and conditions of the Creative Commons Attribution (CC BY) license (http://creativecommons.org/licenses/by/4.0/).