ПОЛУЧЕНИЕ НОВЫХ ВЫСОКОМОЛЕКУЛЯРНЫХ ЭФИРОВ ЦЕЛЛЮЛОЗЫ ПУТЕМ ХИМИЧЕСКОЙ МОДИФИКАЦИИ ЕЕ АЗОТНОКИСЛЫХ ЭФИРОВ
УДК 661.728.86
Аннотация
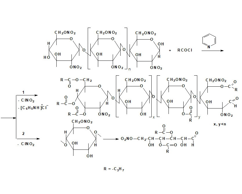
В настоящем исследовании был изучен метод химической модификации нитрата целлюлозы с использованием хлорангидрида масляной кислоты. Для оценки электронной структуры и реакционной способности взаимодействующих молекул применялись методы квантовой химии, что позволило спрогнозировать возможные направления протекания реакции. В результате экспериментов были получены продукты реакции, химический состав которых был определен с помощью элементного анализа. Структурные характеристики синтезированных соединений были оценены с помощью инфракрасной спектроскопии и ядерного магнитного резонанса. Высокомолекулярные соединения исследовались методами гельпроникающей хроматографии и вискозиметрического анализа, которые помогли оценить степень разрыва полимерной цепи и выявить формирование более упорядоченной структуры. Для более глубокого понимания процесса превращения нитратов был проведен кинетический анализ реакции ацилирования, что позволило определить оптимальные условия для получения бутирилнитратов целлюлозы. Важным аспектом исследования стала оценка термической устойчивости полученных соединений и уровня пожаробезопасности, достигнутого путем снижения восприимчивости к теплу и огню. Приобретенные характеристики синтезированного продукта открыли новые возможности для его применения в качестве пластификатора в стандартных авиационных эластомерных композиций на основе бутилкаучука марки 1675 и полиизопреновых каучуков марки СКИ-3. Это подтверждает значимость разработанного метода химической модификации для создания новых материалов с улучшенными эксплуатационными характеристиками.
Скачивания
Литература
Golubev A.Ye., Kuvshinova S.A., Burmistrov V.A., Koyfman O.I. Rossiyskiy khimicheskiy zhurnal, 2015, vol. 59, no. 5-6, pp. 98–112. (in Russ.).
Kuvshinova S.A., Golubev A.Ye., Burmistrov V.A., Koyfman O.I. Rossiyskiy khimicheskiy zhurnal, 2016, vol. 60, no. 1, pp. 69–84. (in Russ.).
Vdovina N.P., Korchagina A.A., Budayev I.A. Izvestiya vysshikh uchebnykh zavedeniy. Seriya Khimiya i khimich-eskaya tekhnologiya, 2023, vol. 66, no. 5, pp. 6–20. https://doi.org/10.6060/ivkkt.20236605.6725. (in Russ.).
Korchagina A.A., Budayeva V.V., Aleshina L.A., Lyukhanova I.V., Bychin N.V., Sakovich G.V. Izvestiya vysshikh uchebnykh zavedeniy. Seriya Khimiya i khimicheskaya tekhnologiya, 2022, vol. 65, no. 6, pp. 64–74. https://doi.org/10.6060/ivkkt.20226506.6598. (in Russ.).
Petrov V.A., Petrov A.I., Kostochko A.V. Vestnik Kazanskogo tekhnologicheskogo universiteta, 2013, vol. 16, no. 17, pp. 89–91. (in Russ.).
Gotlib Ye.M., Robinova A.V., Garayeva M.R., Khallilulin R.N. Vestnik Kazanskogo tekhnologicheskogo universiteta, 2009, no. 5, pp. 366–371. (in Russ.).
Petrov V.A., Aver'yanova N.V., Gibadullin M.R., Khammatov I.A., Sibgatullina N.M., Bikmukhametov I.R. Vestnik Kazanskogo tekhnologicheskogo universiteta, 2014, vol. 17, no. 14, pp. 115–117. (in Russ.).
Bochek A.M., Zabivalova N.M., Gofman I.V., Lebedeva M.F., Popova Ye.N., Lavrent'yev V.K. Vysokomole-kulyarnyye soyedineniya. Seriya B, 2015, vol. 57, no. 4, pp. 338–346. (in Russ.).
Vshivkov S.A., Byzov A.A. Vysokomolekulyarnyye soyedineniya. Seriya B, 2013, vol. 55, no. 2, pp. 170–176. (in Russ.).
Volova T.G., Zhila N.O., Shishatskaya Ye.I., Mironov P.V., Vasil'yev A.D., Sukovatyy A.G. Vysokomolekulyarnyye soyedineniya. Seriya B, 2013, vol. 55, no. 7, pp. 755–787. (in Russ.).
Oi H., Liebert T., Meister F., Heinze T. React. Funct. Polym., 2009, vol. 69, no. 10, pp. 779–784. https://doi.org/10.1016/j.reactfunctpolym.2009.06.007.
Chang C., Zhang L. Carbohydr. Polym., 2011, vol. 84, no. 1, pp. 40–46. https://doi.org/10.1016/j.carbpol.2010.12.023.
Kon'shin V.V., Beushev A.A., Chemeris N.A., Chemeris M.M., Skuridina Ye.M., Kovalenko A.A. Plasticheskiye massy, 2008, no. 4, pp. 37–39. (in Russ.).
Romanova S.M., Mukhetdinova A.M., Fridland S.V. Vestnik Kazanskogo tekhnologicheskogo universiteta, 2010, no. 9, pp. 124–130. (in Russ.).
Patent 93056101 (RU). 1996. (in Russ.).
Romanova S.M., Nurgatin V.V., Fridland S.V. Izvestiya vysshikh uchebnykh zavedeniy. Stroitel'stvo, 2003, vol. 46, no. 8, pp. 134–138. (in Russ.).
Romanova S.M., Fridland S.V., Utkina Ye.I. Vestnik Tatarstanskogo otdeleniya Rossiyskoy ekologicheskoy akademii, 2006, no. 4, pp. 79–86. (in Russ.).
Romanova S.M., Fridland S.V. Vestnik Kazanskogo tekhnologicheskogo universiteta, 2010, no. 7, pp. 79–86. (in Russ.).
Romanova S.M., Mukhetdinova A.M., Fatykhova L.A. Vestnik Kazanskogo tekhnologicheskogo universiteta, 2011, no. 12, pp. 44–49. (in Russ.).
Romanova S.M., Treskova V.I., Gil'manov R.Z. Vestnik Kazanskogo tekhnologicheskogo universiteta, 2012, vol. 15, no. 14, pp. 67–70. (in Russ.).
Romanova S.M., Madyakina A.M., Sabirova D.I., Fetisova V.A. Vestnik Kazanskogo tekhnologicheskogo universiteta, 2020, vol. 23, no. 7, pp. 44–48.
Romanova S.M., Madyakina A.M., Sabirova D.I., Shulayev M.V. Khimiya rastitel'nogo syr'ya, 2020, no. 3, pp. 25–33. https://doi.org/10.14258/jcprm.2020037294. (in Russ.).
Patent 2659283 (RU). 2017. (in Russ.).
Romanova S.M., Madyakina A.M., Sabirova D.I., Khuzeyev M.V. Ekologicheskaya khimiya, 2019, vol. 28, no. 3, pp. 132–139. (in Russ.).
Romanova S.M., Madyakina A.M., Akhtyamova Z.G., Romanova K.A. Yestestvennyye i tekhnicheskiye nauki, 2024, no. 12 (199), pp. 167–173. https://doi.org/10.25633/ETN.2024.12.14. (in Russ.).
Romanova S.M., Sabirova D.I., Akhtyamova Z.G., Ishmayeva G.F. Vestnik Tekhnologicheskogo universiteta, 2017, vol. 20, no. 1, pp. 36–39. (in Russ.).
Romanova S.M., Fatykhova L.A. Zhurnal Sibirskogo federal'nogo universiteta. Seriya: Khimiya, 2014, vol. 7, no. 1, pp. 151–158. (in Russ.).
Petrov A.I., Baranova N.V., Nikitina N.N. Polucheniye i analiz nitratov tsellyulozy: laboratornyy praktikum. [Obtain-ing and analysis of cellulose nitrates: laboratory practical]. Kazan, 2003, 144 p. (in Russ.).
Vashukova K.S., Terent'yev K.Yu., Chukhchin D.G. Izvestiya vuzov. Lesnoy zhurnal, 2023, no. 6, pp. 176–189. (in Russ.).
Antishin D.V., Korsakov A.V., Koshkin A.V. Voda: Khimiya i ekologiya, 2025, no. 1, pp. 12–17. (in Russ.).
Romanova S.M., Fatykhova L.A. Izvestiya vysshikh uchebnykh zavedeniy. Seriya Khimiya i khimicheskaya tekhnologi-ya, 2014, vol. 57, no. 9, pp. 33–37. (in Russ.).
Romanova S.M., Fatykhova L.A. Nauchnyy vestnik Moskovskogo gosudarstvennogo gornogo universiteta, 2013, no. 12, pp. 177–179. (in Russ.).
Romanova S.M., Fatykhova L.A. Izvestiya vysshikh uchebnykh zavedeniy. Seriya Khimiya i khimicheskaya tekhnologi-ya, 2021, vol. 64, no. 5, pp. 30–34. (in Russ.).
Romanova S.M., Fatykhova L.A., Madyakina A.M., Khuzeyev M.V. Vestnik Tekhnologicheskogo universiteta, 2019, vol. 22, no. 2, pp. 109–113. (in Russ.).
Pokalyukhin N.A., Musin A.L. Opredeleniye chuvstvitel'nosti vzryvchatykh materialov k luchu ognya: metod. ukazaniya. [Determination of the sensitivity of explosive materials to a fire beam: method. instructions]. Kazan, 2006, 12 p. (in Russ.).
Copyright (c) 2026 Химия растительного сырья

Это произведение доступно по лицензии Creative Commons «Attribution» («Атрибуция») 4.0 Всемирная.

This work is licensed under a Creative Commons Attribution 4.0 International License.
Авторы, которые публикуются в данном журнале, соглашаются со следующими условиями:
1. Авторы сохраняют за собой авторские права на работу и передают журналу право первой публикации вместе с работой, одновременно лицензируя ее на условиях Creative Commons Attribution License, которая позволяет другим распространять данную работу с обязательным указанием авторства данной работы и ссылкой на оригинальную публикацию в этом журнале.
2. Авторы сохраняют право заключать отдельные, дополнительные контрактные соглашения на неэксклюзивное распространение версии работы, опубликованной этим журналом (например, разместить ее в университетском хранилище или опубликовать ее в книге), со ссылкой на оригинальную публикацию в этом журнале.
3. Авторам разрешается размещать их работу в сети Интернет (например, в университетском хранилище или на их персональном веб-сайте) до и во время процесса рассмотрения ее данным журналом, так как это может привести к продуктивному обсуждению, а также к большему количеству ссылок на данную опубликованную работу.







