ЭФФЕКТИВНОЕ БИОАКТИВНОЕ СОЕДИНЕНИЕ ДЛЯ СЕЛЬСКОГО ХОЗЯЙСТВА НА ОСНОВЕ МЕСТНОГО СЫРЬЯ
УДК 635.21:631.8
Аннотация
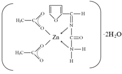
В данной статье изучена биологическая активность и проведены физико-химические анализы комплексного соединения фурфуролиден-карбамида с ацетатом цинка, полученного на основе отходов сельского хозяйства и местного сырья. Изучен стимулирующий эффект препарата на рост, развитие и всхожесть различных сельскохозяйственных культур, таких как пшеница и хлопчатник. Приведены конкретные данные по улучшению показателей всхожести семян, биомассы растений, урожайности. Проведен детальный анализ антимикробных и фунгицидных свойств в отношении основных патогенов растений, вызывающих заболевания. Указаны виды и штаммы грибов, бактерий, на которые выявлено ингибирующее действие, а также минимальные подавляющие концентрации. Исследован механизм биологической активности, например, стимуляция защитных реакций растений, прямое токсическое воздействие на возбудителей болезней, регуляция процессов роста и развития. Представлены лабораторные результаты положительного влияния комплексного соединения фурфуролиден-карбамида с ацетатом цинка на развитие растений и антагонистических свойств в отношении патогенных грибов, вызывающих на сегодняшний день различные заболевания растений и наносящие им серьезный вред. Приводятся сведения, полученные в результате изучения эколого-токсикологических свойств этого биологически активного соединения. Установлено, что данное биологически активное соединение по острой токсичности относится к веществам IV класса опасности – малоопасным соединениям. Соединение, обладая слабым функционально-кумулятивным действием, оказывает слабое раздражающее действие на слизистую оболочку глаз, а на кожу не оказывает негативного воздействия.
Скачивания
Metrics
Литература
World fertilizer trends and outlook to 2018. Rome, 2015, 66 p.
Łozowicka B., Hrynko I., Kaczyński P. J. Plant Protection Res., 2015, pp. 142–150. https://doi.org/10.1515/jppr-2015-0018.
Matyjaszczyk E. J. Plant Protection Res., 2011, vol. 51(3), pp. 217–224. https://doi.org/10.2478/v10045-011-0037-5.
Buga S.F. Zashchita i karantin rasteniy, 2001, no. 3, pp. 18–25. (in Russ.).
Ganiyev M.M. Khimicheskiye sredstva zashchity rasteniy. [Chemical plant protection products]. Moscow, 2006, pp. 64–66. (in Russ.).
Buga S.F., Zhukovskiy A.G., Il'yuk A.G., Radyna A.A., Zherdetskaya T.N., Zhuk Ye.I. Nauchnyye osnovy effektiv-nogo ispol'zovaniya protraviteley semyan dlya zashchity zernovykh kul'tur ot bolezney. [Scientific basis for the effec-tive use of seed dressings to protect grain crops from diseases]. Minsk, 2011, p. 52. (in Russ.).
Morozov Ye.F. Proizvodstvo furfurola. [Production of furfural]. Moscow, 1988, 200 p. (in Russ.).
Askarov R.I., Isakov Kh., Mukhammedov B.S. «Innovatsionnyye idei, razrabotki na praktike: problemy, issledovaniya i resheniya»: Mezhdunarodnaya onlayn-nauchno-prakticheskaya konferentsiya. ["Innovative Ideas, Developments in Practice: Problems, Research, and Solutions": International Online Scientific and Practical Conference]. Andijan, 2021, pp. 115–116.
Gafurov K., Shamshiddinov I. Mineral ŭġitlar va tuzlar tehnologiâsi. [Technology of mineral fertilizers and salts]. Tashkent, 2007, 352 p. (in Uzb.).
Askarov R.I., Isakov Kh., Mukhammedov B.S. Mezhdunarodnoy nauchno-tekhnicheskaya konferentsiya «Rol' sovremennoy khimii i innovatsiy v razvitii natsional'noy ekonomikii». [International Scientific and Technical Conference "The Role of Modern Chemistry and Innovation in the Development of the National Economy"]. Fergana, 2021, pp. 146–147.
Paribok T.A. Biologicheskaya rol' mikroelementov i ikh primeneniye v sel'skom khozyaystve i meditsine. [Biological role of microelements and their application in agriculture and medicine]. Moscow, 1974, pp. 306–319. (in Russ.).
Gol'shin N.M. Zashchita rasteniy, 1990, pp. 13–15. (in Russ.).
Russel A.D., Turr J.R. Science Progress, 1996, vol. 79 (1), pp. 27–48.
Koval' E.Z., Gorbek L.T. Metody eksperimental'noy mikologii. [Methods of experimental mycology]. Kyiv, 1982, pp. 76–105. (in Russ.).
Yevseyev V.V. Zashchita i karantin rasteniy, 2004, no. 5, p. 49. (in Russ.).
Khokhryakov M.K. Metodicheskiye ukazaniya no eksperimental'nomu izucheniyu fitopatogennykh gribov. [Methodo-logical guidelines for the experimental study of phytopathogenic fungi]. Leningrad, 1969, 68 p. (in Russ.).
Sofina L.I., Svetlichnaya M.A., Filatov A.A., Grinina N.S. On the content of pesticides in environmental objects in food. Pesticides and health. Krasnodar, 2000, pp. 23−26.
Patika V.P., Makarenko H.A., Moklyachukta L.I. Agroecological assessment of mineral fertilizers and pesticides: Monograph. Kyiv, 2005, 300 p.
Zinchenko V.A. Khimicheskaya zashchita rasteniy: sredstva, tekhnologiya i ekologicheskaya bezopasnost'. [Chemical plant protection: means, technology and environmental safety]. Moscow, 2006, 158 p. (in Russ.).
Arslan H., Külcü N., Flörke U. Transition Metal Chemistry, 2003, vol. 28(7), pp. 816–819.
Kazakbayeva D.A., Isabayeva Z., Zakirov B.S. Doklady AN Ruz, 2005, no. 6, pp. 45–48. (in Russ.).
Orazbayeva A.A., Narkhodzhayev A.Kh., Kucharov B.Kh., Zakirov B.S. Doklady AN Ruz, 2010, no. 3, pp. 64–67. (in Russ.).
Krishtal M.M., Yasnikov I.S., Polunin V.I., Filatov A.M., Ul'yanenkov A.G. Skaniruyushchaya elektronnaya mikroskopiya i rentgenospektral'nyy mikroanaliz v primerakh prakticheskogo primeneniya. (Seriya «Mir fiziki i tekhniki» II-15). [Scanning electron microscopy and X-ray spectral microanalysis in examples of practical application. (Series "World of Physics and Technology" II-15)]. Moscow, 2009, pp. 205–208. (in Russ.).
Vaghasia Y., Nair R., Soni M., Baluja S., Chanda S. J. Serb. Chem. Soc., 2004, vol. 69, pp. 991–998.
Tsuglenok N.V. Sistema zashchity zernovykh i zernobobovykh kul'tur ot sistemnykh infektsiy. [System of protection of grain and leguminous crops from systemic infections]. Krasnoyarsk, 2003, pp. 34–50. (in Russ.).
Metodika provedeniya polevykh i laboratornykh eksperimentov. [Methodology for conducting field and laboratory ex-periments]. Tashkent, 2007, 147 p. (in Russ.).
Copyright (c) 2025 Химия растительного сырья

Это произведение доступно по лицензии Creative Commons «Attribution» («Атрибуция») 4.0 Всемирная.

This work is licensed under a Creative Commons Attribution 4.0 International License.
Авторы, которые публикуются в данном журнале, соглашаются со следующими условиями:
1. Авторы сохраняют за собой авторские права на работу и передают журналу право первой публикации вместе с работой, одновременно лицензируя ее на условиях Creative Commons Attribution License, которая позволяет другим распространять данную работу с обязательным указанием авторства данной работы и ссылкой на оригинальную публикацию в этом журнале.
2. Авторы сохраняют право заключать отдельные, дополнительные контрактные соглашения на неэксклюзивное распространение версии работы, опубликованной этим журналом (например, разместить ее в университетском хранилище или опубликовать ее в книге), со ссылкой на оригинальную публикацию в этом журнале.
3. Авторам разрешается размещать их работу в сети Интернет (например, в университетском хранилище или на их персональном веб-сайте) до и во время процесса рассмотрения ее данным журналом, так как это может привести к продуктивному обсуждению, а также к большему количеству ссылок на данную опубликованную работу.







